NV Gold Receives Strong Gold Results from Afgan Drilling on Cortez Trend
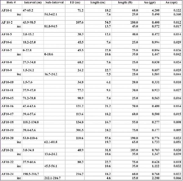
Results include:18.2 metres of 4.2 gpt and 57.6 metres of 0.776 gpt
NV Gold Corporation (“NV Gold”) (TSX.V - NVX) reports it has completed the 25-hole 2,355-metre reverse-circulation drill program (previously announced) on its 100-per-cent-owned Afgan-Kobeh gold project located 28 miles northwest of Eureka, Nevada, along the Cortez Trend. All drill samples were submitted for analysis to ALS Chemex of Reno, Nevada and all results have now been received.
“We are very encouraged by the results of this program,” stated John E. Watson, President and CEO of NV Gold Corporation. “Several areas of wide-spaced drilling from previous work were successfully offset or in-filled, which may increase tonnage and could enhance the grade of the known mineralization in several areas. High-grade mineralization, identified from previous drilling programs was offset and enlarged. Step-out holes were successful in opening new possibilities for further enlargement. The program exceeded our expectations.”
In addition to the drilling completed in this program, the Company has completed a data verification of the existing database, including re-surveying of all identifiable drill collars from previous programs. The Company expects that this work will confirm better continuity of mineralized zones, enlarge their size and provide a better model for formulating targets for future programs. The Company plans to undertake a new NI 43-101 Technical Report and Resource Calculation on the property as soon as possible.
Hole AF10-01, which was sited to offset a historical hole that intersected a down-dropped structural block of higher-grade mineralization that remained open to the south returned the best intercept of the program, yielding 18.2 metres grading 4.2 gpt Au, including 7.6 metres of 5.49 gpt. Hole AF10-02 yielded 54.5 metres grading 0.40 gpt Au. This intercept indicates the presence of potentially ore-grade mineralization over significant thicknesses beneath other intercepts in the vicinity.
Holes AF10-05, 10-06, 10-07 and 10-08 were drilled in areas where historic mineralization had yielded weak mineralization relative to the main zones of
mineralization. All four holes intersected very shallow mineralization generally better than these historic holes, implying the area should be re-assessed.
Significant intercepts from the Company’s program are summarized in the table below. True widths will be determined as holes are interpreted from cross-sections.

Hole AF10-09 was drilled to test a 100+ metre long zone of strong grades, but the hole was lost in material that returned in excess of 2 gpt Au at a depth of 24 metres. Hole AF 10-21 was offset a few meters to the northwest and was successful in reaching the target depth. Holes AF10-14 and 10-15 encountered a highly-altered igneous body intruded into the host stratigrapy. Hole AF10-14 went out of the intrusive into strongly oxidized sediments, then back into intrusive, where it was terminated. Hole AF10-15 was drilled at an angle to find the edge of the intrusive and test for mineralization along this contact. Gold mineralization was present at and below the contact with the underlying sediments, suggesting a “ponding” of mineralizing fluids below the contact. Hole AF10-18 also went through strongly altered igneous rocks into strongly altered and oxidized, gold-mineralized sediments. Previous drilling apparently encountered intrusive rock, but its importance on controlling mineralization does not seem to have been recognized.
Hole AF10-20 was an angle hole drilled to intersect an untested area north of the resource perimeter, between two widely-separated holes that were well mineralized. The hole intersected 57.6 metres of 0.776 gpt Au, which included 19.7 metres grading 1.733 gpt Au, the strongest intercept encountered to date in the northern half of the property.
A second drill program is planned for Spring, 2011 following detailed review and analysis of this program.
The Afgan-Kobeh project consists of two contiguous parcels, a block of 109 unpatented claims covering an area of approximately 2,180 acres that are 100% owned by the Company, subject to a 1% NSR in favor of a third party, and a lease that applies to 104 unpatented claims covering an area of approximately 2,080 acres, which is subject to a 3% NSR in favor of the lessor. A total of over 4,200 acres is currently owned or leased by the Company. The project’s potential is enhanced by its location near the southeastern limit of an alignment of mineral deposits, referred to as the Battle Mountain-Eureka Gold Trend (also known as the Cortez Trend), at its intersection with the Northern Nevada Rift. The project lies between the previously mined Gold Bar deposit (Atlas; now controlled by U.S. Gold) and the currently producing Archimedes (Ruby Hill) mine of Barrick Gold Corp.
Assays reported were conducted by ALS Chemex (Reno, Nevada) using a fire assay with an AA finish. The data verification procedures and QA/QC procedures followed for the recent drilling program were consistent with industry practices. Mr. Odin Christensen, C.P.G., a director of the Company and a Qualified Person under NI 43-101, prepared or supervised the preparation of the scientific and technical information that forms the basis of this news release and has reviewed and approved of the contents of this news release.
NV Gold is a recently listed company committed to developing gold and copper resources. The Company has a proven management team and extensive connections to projects and financing.
ON BEHALF OF THE BOARD OF DIRECTORS OF
NV Gold Corporation
“John E. Watson”, President, CEO
For further information, visit the Company’s website at www.nvgoldcorp.com or contact:
John E. Watson
Phone: 303.674.9400
Email: jewats@aol.com
Drill Hole Location Map with 2004 Resource Projection

Statements in this news release relating to possible increases in tonnage and enhanced grade of known mineralization, new possibilities of enlargement of known mineralization, expectations that data verification and re-surveying will confirm better continuity and may enlarge tonnage and provide better data, plans for a new technical report and a second drilling program and references to potentially ore-grade mineralization may constitute forward-looking information. Such statements address future events and conditions and, as such, involve known and unknown risks, including risks relating to formal resource calculation yielding different conclusions, the availability of financing and the general risks of project exploration and development, which may cause the actual results to be materially different from any future results expressed or implied by the statements. Other than as required by law, NV Gold undertakes no obligation to update its forward-looking information.